Sākums >
Statistics
>
Video
Atpakaļ
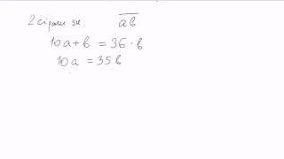
- LV.AMO.2011.5.1: Reizināšanas piemērā ciparus aizstāja ar burtiem un ieguva izteiksmi
$AB \cdot ...
- LV.AMO.2011.5.2: Dotās $3 \times 3$ rūtiņu tabulas katrā rūtiņā jāieraksta pa vienam naturālam
s...
- LV.AMO.2011.5.3: Parādi, kā kvadrātu var sadalīt vairākos platleņķa trijstūros!...
- LV.AMO.2011.5.4: Vai naturālos skaitļus no $1$ līdz $12$, katru izmantojot tieši vienu reizi,
va...
- LV.AMO.2011.5.5: Kvadrātā ar izmēriem $7 \times 7$ rūtiņas jāizvieto $n$ *"stūrīšus"* (2.zīm.
at...
- LV.AMO.2012.5.1: Divu naturālu skaitļu pierakstā izmantoti tikai cipari $1, 4, 6$ un $9$. Vai var...
- LV.AMO.2012.5.3: Maisā ir baltas, zaļas un sarkanas pogas (citu krāsu pogu maisā nav). Kādu mazāk...
- LV.AMO.2012.5.4: $24$-stāvu mājā ir lifts, kuram ir divas pogas. Nospiežot vienu pogu, tas paceļa...
- LV.AMO.2013.5.1: Cik reizes diennaktī sakrīt pulksteņa stundu un minūšu rādītāji? (Plkst. 00:00
...
- LV.AMO.2013.5.2: $24$-stāvu mājā ir lifts, kuram ir divas pogas. Nospiežot vienu pogu, tas
paceļ...
- LV.AMO.2013.5.3: 1.zīmējumā katrā aplītī ierakstīt vienu ciparu, katrā aplītī - citu, tā, lai
ka...
- LV.AMO.2013.5.4: No 2.zīmējumā redzamajām figūrām salikt taisnstūri ar laukumu $40$ rūtiņas.
Fig...
- LV.AMO.2013.5.5: Kuba katra skaldne sadalīta četros vienādos kvadrātos. Vai šos kvadrātus var
no...
- LV.AMO.2014.5.1: Pūkainīšu ciemata bērniem Lieldienu zaķis atnesa olas. Katra no tām bija
nokrāso...
- LV.AMO.2014.5.2: Divu naturālu skaitļu pierakstā izmantoti tikai cipari $2, 3, 7$ un $8$. Vai var...
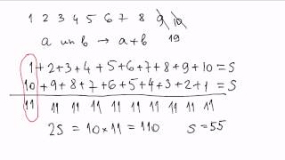
- LV.AMO.2013.6.1: Uz tāfeles uzrakstīti desmit skaitļi
$\begin{array}{llllllllll}
1 & 2 & 3 & 4 &...
- LV.AMO.2013.6.2: Vai var atrast tādus divus viens otram sekojošus naturālus skaitļus, viens no
k...
- LV.AMO.2013.6.3: Sagriezt 3.zīmējumā attēloto figūru $20$ vienādās mazākās figūrās (figūras var
b...
- LV.AMO.2013.6.4: Vai skaitļus no $100$ līdz $200$ var sadalīt divās grupās tā, ka skaitļu
reizin...
- LV.AMO.2013.6.5: Una un Ivo, gājienus izdarot pēc kārtas, kvadrāta ar izmēriem $5 \times 5$
rūti...
- LV.AMO.2013.7.1: Naturālā divciparu skaitlī neviens no cipariem nav $0$. Pierādīt, ka, dalot šo
...
- LV.AMO.2013.7.2: Doti seši nogriežņi ar garumiem $1~\mathrm{cm}$, $3~\mathrm{cm}$,
$5~\mathrm{cm...
- LV.AMO.2013.7.3: Pierādīt, ka skaitlis $1234567891011\ldots175176$ (pēc kārtas uzrakstīti visi
n...
- LV.AMO.2013.7.4: Vai kvadrātā $5 \times 5$ rūtiņas var iekrāsot **(A)** $6$ rūtiņas; **(B)** $5$
...
- LV.AMO.2013.7.5: Una un Ivo, gājienus izdarot pēc kārtas, kvadrāta ar izmēriem $6 \times 6$
rūti...
- LV.AMO.2013.8.1: Atrast visus naturālos skaitļus, kas nepārsniedz $1000000$ un kuri, nosvītrojot
...
- LV.AMO.2013.8.2: Dots trijstūris $ABC$ un punkts $P$ tā iekšpusē. Pierādi, ka attālumu summa no
...
- LV.AMO.2013.8.3: Doti tādi reāli skaitļi $t$ un $a$, ka $t^{2}-t \cdot \sqrt{t}+a=0$. Pierādīt,
...
- LV.AMO.2013.8.4: Vai regulāru sešstūri var sadalīt **(A)** deviņos; **(B)** astoņos vienādos
dau...
- LV.AMO.2013.8.5: Rūķītis ir iedomājies skaitļus $x_{1}, x_{2}, x_{3}$ un $x_{4}$, katrs no tiem
...
- LV.AMO.2012.9.1: Atrodi vienu skaitli, kuram ir tieši $12$ veseli pozitīvi dalītāji....
- LV.AMO.2012.9.2: Trijstūrī $ABC$ $\sphericalangle ABC=90^{\circ}$, bet punkts $P$ atrodas uz mala...
- LV.AMO.2012.9.3: Kvadrātvienādojuma $x^{2}-507x+a=0$ saknes ir $p^{2}$ un $q$, kur $p$ un $q$ ir
...
- LV.AMO.2012.9.4: Uz tāfeles uzrakstītas deviņas zvaigznītes * * * * * * * * *. Jānis ieraksta kād...
- LV.AMO.2012.9.5: Dota trapece, kuras pamatu malu garumi ir $3$ un $13$. Pierādi, ka to nevar sada...
- LV.AMO.2013.9.2: Kvadrātā ar izmēriem $4 \times 4$ rūtiņas katra rūtiņu virsotne nokrāsota vienā
...
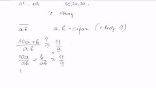
- LV.AMO.2013.9.3: Doti četri dažādi cipari, neviens no kuriem nav $0$. Visu divciparu skaitļu,
ku...
- LV.AMO.2013.9.4: Dota skaitļu virkne $x_{0}, x_{1}, x_{2}, x_{3}, \ldots$, kurā $x_{0}>0$ un
$x_...
- LV.AMO.2013.9.5: Dots izliekts četrstūris. Uzzīmēti četri riņķi, kuru diametri ir četrstūra
mala...
- LV.AMO.2013.10.1: Dots, ka $x_{1}$ ir vienādojuma $x^{2}+px+q=0$ sakne, bet $x_{2}$ ir
vienādojum...
- LV.AMO.2013.10.2: Trijstūrī $ABC$ nogrieznis $CD$ ir bisektrise. Caur punktu $C$ novilkta riņķa
l...
- LV.AMO.2013.10.3: Par $n$-heksu sauksim plaknes figūru, kas izveidota no $n$ regulāriem
sešstūrie...
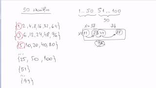
- LV.AMO.2013.10.4: No pirmajiem $100$ naturālajiem skaitļiem izvēlēts $51$ skaitlis. Pierādīt, ka
...
- LV.AMO.2013.10.5: Vai pa riņķi var uzrakstīt $2013$ naturālus skaitļus tā, lai jebkuru divu
blaku...
- LV.AMO.2013.11.1: Pierādīt, ka nav tāda naturāla skaitļa $n$, ka skaitlis $n^{2}-3n-1$ dalās ar
$...
- LV.AMO.2013.11.2: Vai eksistē regulārs daudzstūris, kuram vienas diagonāles garums ir vienāds ar
...
- LV.AMO.2013.11.3: Doti dažādi nepāra naturāli skaitļi $a_{1}, a_{2}, \ldots, a_{n}$. Neviens no
t...
- LV.AMO.2013.11.4: Kādā valstī ir $2013$ pilsētas, no katras uz katru var aizlidot ar lidmašīnu.
D...
- LV.AMO.2013.11.5: Uz galda virsmas, kurai ir taisnstūra forma, izvietoti vairāki vienādi
kvadrātv...
- LV.AMO.2013.12.1: Atrisināt reālos skaitļos vienādojumu $\lg x \cdot \lg (4-x)=\frac{1}{4}$....
- LV.AMO.2013.12.2: Trijstūrī $ABC$ punkti $M,\ N$ un $K$ ir attiecīgi malu $AB,\ BC$ un $CA$
vidus...
- LV.AMO.2013.12.3: Pierādīt, ka neeksistē tādi naturāli skaitļi $x, y, z$, ka izpildās vienādība
$...
- LV.AMO.2013.12.4: Kādas valodas alfabētā ir $i$ patskaņi ($i \geq 2$) un $j$ līdzskaņi
($j \geq 2...
- LV.AMO.2013.12.5: Dota kvadrātisku rūtiņu plakne, katras rūtiņas malas garums ir $1$. Pierādīt,
k...